





中文外文,万物皆可爬!保质保量包售后的,满意为止!
社交媒体:wei博,小红书,dou音,zhi乎,dou瓣,da 众点评,b zhan ,今日toutiao,🐅扑等,ti🎵tok,推x等平台
汽车网站:汽车之🏠,懂车di,易che网等各大汽车社区评论,口碑,帖子
旅游网站:xie程,qu哪儿,fei猪,mao 头鹰,ma蜂窝等评论,游记,帖子
电商评论:🍑宝,京dong,亚马xun,mei团等评论
新闻网站:外文新闻,纽约时bao,观察zhe,人min网,人min日报,中guo日报等各大新闻网站
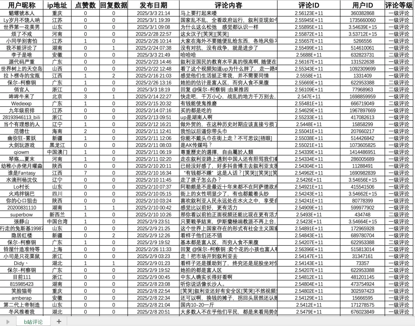
按关键词/话题爬弹幕、帖子和评论,爬指定博主帖子,评论数,点赞数,转发数,ip地址 等
报告文稿/新闻报道/景点评论/酒店评论/餐厅评论/旅游游记/攻略帖子/汽车口碑评论等等都可以爬
万物皆可爬,可按个人具体需求定制,提供需要爬取的网页链接就ok
可定制文本分析,保质保量包售后,做到满意
文本数据预处理,词频统计,tf-idf关键词提取,词云图,共线矩阵,语义网络,情感分析,情感词典,情感演化,lda主题分析,主题聚类,主题降维可视化,主题演化, bertopic等,深度学习,机器学习,定制各大算法模型,可根据个人具体需求量身定制,提供无忧售后。
#爬虫
#爬虫接单
#python爬虫接单
#数据采集
#论文查找数据
#文本情感分析
#lda主题模型
#数据可视化
#词频
#数据分析
社交媒体:wei博,小红书,dou音,zhi乎,dou瓣,da 众点评,b zhan ,今日toutiao,🐅扑等,ti🎵tok,推x等平台
汽车网站:汽车之🏠,懂车di,易che网等各大汽车社区评论,口碑,帖子
旅游网站:xie程,qu哪儿,fei猪,mao 头鹰,ma蜂窝等评论,游记,帖子
电商评论:🍑宝,京dong,亚马xun,mei团等评论
新闻网站:外文新闻,纽约时bao,观察zhe,人min网,人min日报,中guo日报等各大新闻网站
按关键词/话题爬弹幕、帖子和评论,爬指定博主帖子,评论数,点赞数,转发数,ip地址 等
报告文稿/新闻报道/景点评论/酒店评论/餐厅评论/旅游游记/攻略帖子/汽车口碑评论等等都可以爬
万物皆可爬,可按个人具体需求定制,提供需要爬取的网页链接就ok
可定制文本分析,保质保量包售后,做到满意
文本数据预处理,词频统计,tf-idf关键词提取,词云图,共线矩阵,语义网络,情感分析,情感词典,情感演化,lda主题分析,主题聚类,主题降维可视化,主题演化, bertopic等,深度学习,机器学习,定制各大算法模型,可根据个人具体需求量身定制,提供无忧售后。
#爬虫
#爬虫接单
#python爬虫接单
#数据采集
#论文查找数据
#文本情感分析
#lda主题模型
#数据可视化
#词频
#数据分析

研报速递
发表评论
发表评论: