研报速递
首页
行业资讯
热门搜索
加入亿拓客·流量大师 撬动财富之门!!!
首页
»
行业资讯
» 1901-2025最新全国降雨量数据
行业资讯
加入亿拓客·流量大师 撬动财富之门!!!
1901-2025最新全国降雨量数据
wang
2025-10-14
行业资讯
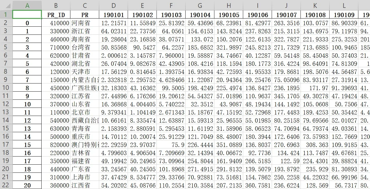
1901-2025最新全国降雨量数据
1901-2025最新全国地级市/县/镇/街道降雨量数据,
包括今年最新月份都有。
#降雨量数据
上一篇:
2025乳制品行业增长攻略
下一篇:
【详细教程】Excel自动化数据报表制作
猜你喜欢
股市分析:聊聊券商!
上海市蒂艾孚网络科技有限公司
大型券商 | 投行部实习生(提供食宿)
上海市蒂艾孚网络科技有限公司
(有留用机会)香港TOP中资券商 - 股权资本市场ECM Intern
上海市蒂艾孚网络科技有限公司
中金公司股票最新消息:券商龙头业绩大爆发!一季度净利猛增75%,港股IPO承销独占鳌头,高盛看高目标价至28.15港元
上海市蒂艾孚网络科技有限公司
五利好助力五月开门红 节后券商板块欲强势崛起
上海市蒂艾孚网络科技有限公司
每月一次的券商金股排行榜,看看就可以作为参考[愉快]
上海市蒂艾孚网络科技有限公司
发表评论
发表评论:
取消回复
发表评论
发表评论: