








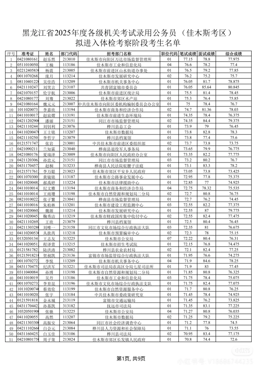
2025年黑龙江省考佳木斯考区笔试前五名,
1、佳木斯市向阳区万达市场监督管理77.15
2、佳木斯市工业和信息化局76.6
3、佳木斯市前进区山水街道办事处76.5
4、佳木斯市发展研究中心76.2
5、佳木斯市机关事务中心76.05
6、共青团富锦市委员会76.05
镇司法所室
3、面试成绩最高分为89,2 佳木斯市公安局
4、面试成绩最低分为70.8佳木斯市农业农村局
佳木斯考区笔试成绩平均分为65.85面试平均分78.4从分数可以看出市区岗位分数比较高,面试不过70分基本上很难上岸。
个人数据统计仅供参考
#黑龙江省考 #黑龙江省考面试 #2025年黑龙江省考 #2025年黑龙江省考面试 #2025年黑龙江省公务员考试 #省考 #省考面试 #黑龙江省考面试时间 #中公
1、佳木斯市向阳区万达市场监督管理77.15
2、佳木斯市工业和信息化局76.6
3、佳木斯市前进区山水街道办事处76.5
4、佳木斯市发展研究中心76.2
5、佳木斯市机关事务中心76.05
6、共青团富锦市委员会76.05
镇司法所室
3、面试成绩最高分为89,2 佳木斯市公安局
4、面试成绩最低分为70.8佳木斯市农业农村局
佳木斯考区笔试成绩平均分为65.85面试平均分78.4从分数可以看出市区岗位分数比较高,面试不过70分基本上很难上岸。
个人数据统计仅供参考
#黑龙江省考 #黑龙江省考面试 #2025年黑龙江省考 #2025年黑龙江省考面试 #2025年黑龙江省公务员考试 #省考 #省考面试 #黑龙江省考面试时间 #中公

研报速递
发表评论
发表评论: