行业资讯

加入亿拓客·流量大师 撬动财富之门!!!

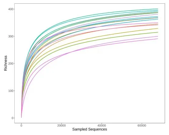
拿到16s肠道菌群测序结果后该怎么分析?

wang 2025-09-26 行业资讯
拿到16s肠道菌群测序结果后该怎么分析?

拿到16s肠道菌群测序结果后该怎么分析?

拿到16s肠道菌群测序结果后该怎么分析?

拿到16s肠道菌群测序结果后该怎么分析?

拿到16s肠道菌群测序结果后该怎么分析?

拿到16s肠道菌群测序结果后该怎么分析?

拿到16s肠道菌群测序结果后该怎么分析?

拿到16s肠道菌群测序结果后该怎么分析?

最后还给大家整理了16s R NA微生物组全代码,包含所有R代码!物种组成、多样性、lefse、随机森林RF、mantel分析、相关性分析、模型分析、网络分析、零模型、机器学习、环境因子、微生物功能、共生网络、进化树等。\n全套代码,套入自己数据即可出图,分享给大家,允许白嫖\n#生信分析#16s测序 #医学科研 #生物信息学 #微生物 #生物实验 #R语言 #医学博士 #医学sci #医学实验

猜你喜欢

发表评论

发表评论: